Our passion for quality and attention to details is evident in the time. The manufacturing and quality are licensed and supervised by Bolise Co., Ltd.
Product name:Pyridinium 4-toluenesulfonate CAS: 24057-28-1 Molecular…
Product name:Buprofezin CAS: 69327-76-0 Molecular Formula:…
Latin Name: Herba Solani Nigri Appearance:brown powder Shelf life:2…
Product name:Procymidone CAS: 32809-16-8 Molecular Formula:…
Product name:Sulfometuron-Methyl CAS: 74222-97-2 Molecular Formula:…
Product name:Isocyanic acid CAS: 75-13-8 Molecular Formula: CHNO…
Product name:Bispyribac-sodium CAS: 125401-92-5 Molecular Formula:…
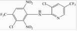
Product name:Fluazinam CAS: 79622-59-6 Molecular Formula:…
Product name:Hexamethylene diisocyanate CAS: 822-06-0 Molecular…
Product name:N-Octane CAS: 111-65-9 Molecular Formula: C8H18…
Product name:Tetranitromethane CAS: 509-14-8 Molecular Formula: C(NO2…
Product name:Osmium tetroxide CAS: 20816-12-0 Molecular Formula: OsO4…